Toggle navigation
FERRITE CORE
FERRITE CORE
TR/CM
OR
OP
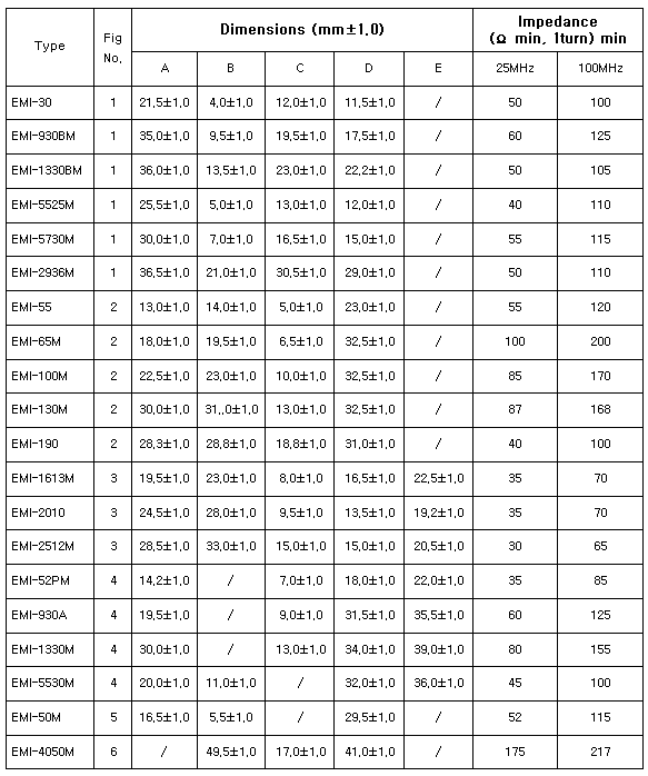
EMI
NP·NR
CF
CS
SP, SR
I CORE
BD CORE
SMD
SMD
CHIP BEAD
SMD INDUCTOR
PARTS
PARTS
TRANSFORMER
LINE FILTER
BAR CHOKE
PEAKING COIL
BEAD INDUCTOR
NANOCRYSTAL CORE
차폐테이프
차폐테이프
CAT
CORE 적용 사례
CORE 적용 사례
세탁기
정수기
전자레인지
에어컨
냉장고
공기청정기
청소기
제목1
제목2
EMI
작성자
관리자
날짜
2025-10-21 11:22:36
목록
×
비밀번호 입력
×
비밀번호 입력